name: title class: title, middle ## Multi-fidelity active learning for discovering solid-state ionic conductors Alex Hernández-García, Yasmine Benabed, Divya Sharma, Michał Koziarski, Alexandra Volokhova .turquoise[Projet PRF3 (Volet 5 - Conducteurs) · 2 mars 2023] .center[
    
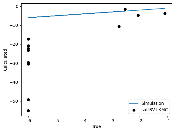
] --- ## Active learning for scientific discovery .context[Abstract overview of the project] .center[] .footnote[_Real world_ here means experimental measurements, DFT or other surrogate models of the ionic conductivity. _World model_ means machine learning models.] --- ## Original plan 1. Identify surrogate proxies of the ionic conductivity with lower complexity than DFT (.highlight1[multi-fidelity oracles]). 2. Build .highlight1[data sets]. 3. Train machine learning .highlight1[proxy models] using data sets and identified oracles. 4. Design and implement .highlight1[GFlowNet] to sample crystal materials using .highlight1[proxy models as reward]. 5. Incorporate GFlowNet sampler into an .highlight1[active learning] pipeline. 6. Extend towards .highlight1[multi-fidelity] active learning. .center[] --- ## Multi-fidelity oracles * Experimental measurements: highest fidelity but very costly * Density Functional Theory: high fidelity but costly * SoftBV (bond valence) + Kinetic Monte Carlo (KMC) .cite[(Chen et al., 2019)]: medium fidelity * Logistic regression model trained by .cite[Sendek et al., 2019] with crystallographic features from Materials Project: low fidelity .references[ * Chen et al. [SoftBV–a software tool for screening the materials genome of inorganic fast ion conductors](https://onlinelibrary.wiley.com/doi/abs/10.1107/S2052520618015718). Crystal Engineering and Materials, 2019. * Sendek et al. [Machine learning-assisted discovery of solid Li-ion conducting materials](https://pubs.acs.org/doi/10.1021/acs.chemmater.8b03272?ref=vi_machine-learning-materials-science). Chemistry of Materials, 2018. ] -- ### Obstacles and challenges * The logistic regression oracle has probably too low a fidelity. * We are uncertain whether the SoftBV + KMC oracle is reliable. * We have not been able to find other realiable, feasible alternative oracles. --- ## Multi-fidelity oracles ### SoftBV + KMC .center[   ] .center[  ] --- ## Data sets * .highlight1[40-set]: 40 materials with ionic conductivity annotations calculated experimentally (highest fidelity) * .highlight1[41-set]: 41 materials with ionic conductivity annotations calculated via DFT (high fidelity) * .highlight1[MP-set]: Subset(s) from the Materials Project database. There are about 19,000 lithium oxide materials - we do not know the ionic conductivity (neither experimental nor DFT) of most of them. -- ### Obstacles and challenges * 40 or 41 materials is a very low-data regime from a deep learning perspective. Hence we propose multi-fidelity active learning. * Not all materials from the 40-set are available via `pymatgen`. Sendek et al. obtained the structures of these materials from ICSD, a proprietary data set. Yasmine was able to obtain the structure files (CIF) of the materials from collaborators. However, we have not been able to reproduce the results in the paper. --- ## Proxy models ### Data representation * Composition: elements and number of atoms per element * Lattice parameters: a, b, c, α, β, γ and space group - this defines the geometry of the unit cell ### Question * Does this representation uniquely define a crystal material? --- ## GFlowNet ### State space * Composition: elements and number of atoms per element * Space group: crystal system, point symmetry and space group * Lattice parameters: a, b, c, α, β, γ --- ## Next steps * Finish the implementation of the GFlowNet environments. * Train GFlowNet with various rewards: * ML proxy of logistic regression oracle * ML proxy of SoftBV+KMC oracle * ML proxy of electrochemical stability window (EWS), calculated from the formation energy --- name: title class: title, middle ## Multi-fidelity active learning for discovering solid-state ionic conductors Alex Hernández-García, Yasmine Benabed, Divya Sharma, Michał Koziarski, Alexandra Volokhova .turquoise[Projet PRF3 (Volet 5 - Conducteurs) · 2 mars 2023] .center[
    
]